4 Dependence of the energy barrier on the system size

As $ {\cal N} \rightarrow \infty$, the influence of the surface effects should become weaker and the energy barriers should recover the full value $ K_c {\cal N}$, this convergence has been shown to be slow [74].
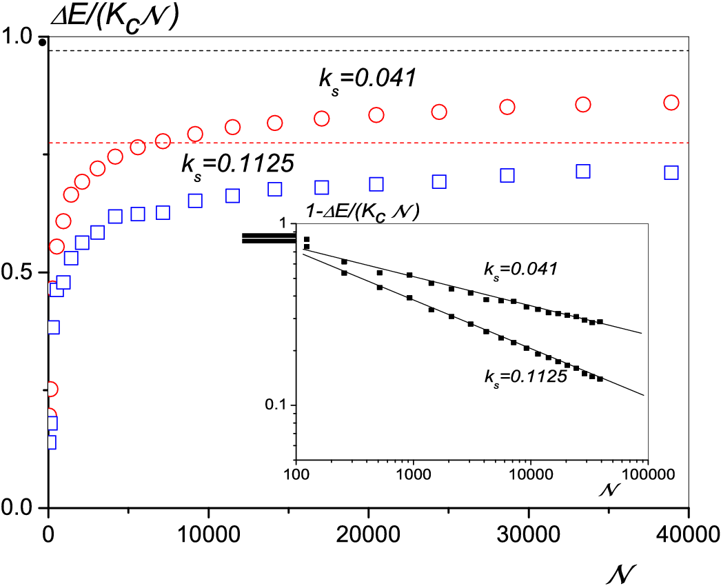
Figure 3.5: Energy barrier as a function of the total number of spins $ {\cal N}$ for two different values of the surface anisotropy, spherical particles cut from the sc lattice with uniaxial anisotropy $ k_c = 0.0025$ in the core. The inset shows a slow dependence of the difference between these results and the uniaxial one-particle energy barrier $ K_c {\cal N}$ in the logarithmic scale. The lines in the inset are the analytical expressions 2.3 and 2.14, see section 2.3
\includegraphics[totalheight=0.38\textheight]{Barrier_Co_sp_3.eps}

Fig. 3.5 shows the values of the energy barriers as a function of the total number of spins $ {\cal N}$ in particles with spherical shape cut from an sc lattice and with two values of $ k_s > 0$. First of all, we note that in this case the main contribution to the effective anisotropy consists of two terms: the core anisotropy and the surface second-order contribution (2.14). In agreement with this all energy barriers of these particles are always smaller than $ K_c {\cal N}$, since as we showed previously for the sc lattice, $ k_{ca}^\mathrm{eff}$ is negative and the energy barriers in this case are defined by Eq. (3.8).

Both uniaxial core anisotropy $ \mathcal{E}_{c}$ and the main contribution to the effective cubic anisotropy $ \mathcal {E}_{2}$ scale with $ \mathcal{N}$, see section 2.3. As $ {\cal N} \rightarrow \infty$, the core anisotropy contribution slowly recovers its full value, i.e., $ \mathcal{E}_c/(K_c {\cal N} )\rightarrow 1$. However, from the analytical expressions 2.3 and 2.14, when neglecting the CSM contribution, $ \Delta E/(K_c {\cal N})$ should approach the value $ 1 -\kappa k_s^2 /12 k_c$, which is independent of the system size. Hence, we may conclude that it is the CSM contribution (2.20) that is responsible for the recovering of the full one-spin uniaxial potential. However, being very small, this contribution produces a very slow increment of the energy barrier. In fact, we have estimated that even spherical particles of diameter $ D=20$ nm (an estimation based on the atomic distance of $ 4$Å) would have an effective anisotropy $ \Delta E/(K_c {\cal N})$ that is $ 13\%$ smaller than that of the bulk.

Truncated octahedra particles, see Fig. 3.6, show a behavior similar to that of the spherical particles. The energy barriers in this case behave very irregularly due to the rough variation of the number of atoms on the surface. The same effect was observed in other particles of small sizes.

Figure 3.6: Energy barriers versus $ {\cal N}$ for truncated octahedra with internal fcc structure and uniaxial core anisotropy $ k_c = 0.0025$.
\includegraphics[totalheight=0.35\textheight]{oct_fcc_r.eps}
For truncated octahedra particles this effect arises as a consequence of non-monotonic variation of the number of spins on the surface for particles cut from regular lattices. The effective anisotropy of truncated octahedra particles with large $ k_s > 0$ is larger than the core anisotropy in accordance with the fact that $ k_\mathrm{ca}^\mathrm{eff}$ is positive for fcc structures and the energy barriers are defined by Eqs. (3.9).

Finally, in Fig. 3.7 we present the energy barriers of ellipsoidal particles with different values of $ k_s$. According to formulas (3.9)(b) and (c), particles with $ k_s < 0$ have energy barriers larger than that inferred from the core anisotropy, and for those with $ k_s > 0$ the energy barriers are smaller. In this case, the energy barrier scales with the number of surface spins $ N_s$ (see Fig. 3.8), in agreement with the first-order contribution from elongation (2.17).

Figure 3.7: Energy barriers as a function of the particle size for ellipsoidal particles with internal sc structure, uniaxial anisotropy $ k_c = 0.0025$ and different values of $ k_s$.
\includegraphics[totalheight=0.35\textheight]{barrier_ellips_2.eps}
Rocio Yanes