1 Scaling with the system size

The first method is based on the phenomenological expression [132] that allows to determine the effective surface anisotropy from the total effective anisotropy varying the size of the system (see section 3.1.1).We assume that this formula is valid for all temperatures:

$\displaystyle K^{eff}(T)=K_{V} (T)+\frac{N_{s}}{N}\cdot\bigl(K_{s}^{eff}(T)-K_{V}(T)\bigr)$ (75)

where $ K_{V}(T)$ is the temperature-dependent macroscopic volume anisotropy constant, $ K_{s}^{eff}(T)$ is the temperature-dependent effective surface anisotropy constant, $ N_{s}$ is the number of moments that belongs to the surface and $ N$ is the number of total moments in the magnetic system. Then if we know the fraction of moments that belongs to the surface, and the value of the total anisotropy, $ K^{eff}(T)$ as a function of the size of the system, we will be able to determine $ K_{s}^{eff}(T)$.

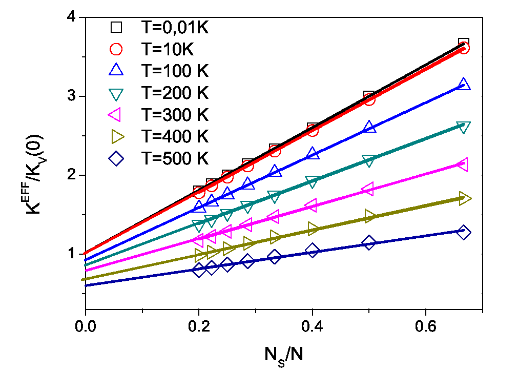
Figure 4.12: The scaling of the $ K^{eff}$ (normalized to the uniaxial anisotropy in the bulk at $ T=0K$, $ K_{V}(0)$) with the ratio between the number of surface spins and total spins at several temperatures.
\includegraphics[totalheight=0.35\textheight]{Ks_ScalM_CMC.eps}
Figure 4.13: (Left) The bulk anisotropy $ K_{V}(T)$ (normalized to the uniaxial anisotropy in the bulk at $ T=0K$ $ K_{V}(0)=K_{c}$) obtained by the scaling method at several temperatures. On the right graph we present the effective surface anisotropy constant $ K_{s}^{eff}$ obtained at these temperatures.
\includegraphics[totalheight=0.27\textheight]{Kc_T_ScalM.eps} \includegraphics[totalheight=0.27\textheight]{Kseff_T_ScalM.eps}

The modeling at different temperatures of a set of thin films (see Fig. 4.12) provide the effective bulk and surface anisotropy constants. The data are perfectly scaled with the ratio $ N_{s}/N$. The fitting of $ K^{eff}(T)$ to the expression (4.23) allows to extract the effective surface and volume anisotropies as a function of the temperature, see Fig. 4.13.

Rocio Yanes