1 The temperature dependence of the total effective anisotropy in thin films with surface anisotropy.

In this section we study the temperature dependence of the total effective anisotropy. We have simulated several types of thin films, with sc or fcc lattice structures and with uniaxial or cubic anisotropy in the bulk. In the previous section 4.2.4 we studied the temperature dependence of the bulk anisotropy without taking into account the surface effects, the natural next step is to analyze the temperature dependence of a pure surface system, in which all the moments belong to the surface so that only surface anisotropy is present.
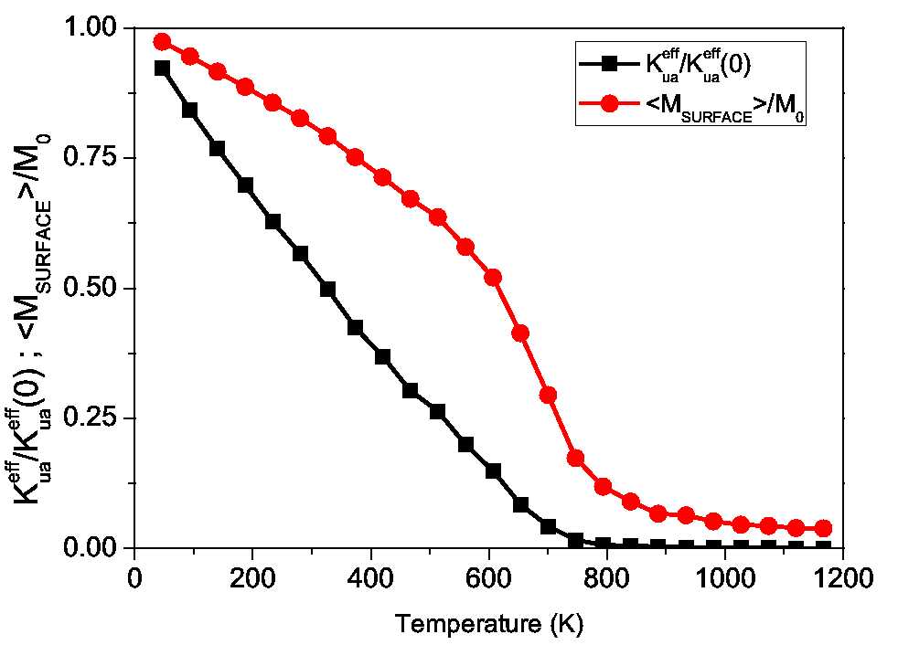
Figure 4.8: Temperature dependence of the surface magnetization and effective uniaxial anisotropy of a thin film $ N=N_{s}=3200$, $ Lz=2$ with Néel surface anisotropy and $ K_{s}=10\cdot K_{c}$, where $ K_{c}$ has the value from Tab. 4.1.
\includegraphics[totalheight=0.35\textheight]{LD_sc_surf_MT_ks10.eps}
In Fig. 4.8 we show the temperature dependence of the magnetization and effective uniaxial anisotropy of such a system, i. e. a thin film with $ Lz=2$. Due to the reduction of the number of first neighbors the Curie temperature of the system is lower than that corresponding to the bulk system with the same exchange constant. The effective uniaxial anisotropy has its origin in the surface effects. It is normalized to the effective anisotropy constant at $ T=0$, which following the expression (4.4) for a sc structure is ( $ K_{ua}^{eff}(0)=\frac{K_{s}}{2}=5\cdot K_{c}$). The effective uniaxial anisotropy shows a linear dependence on temperature.

Once we analyzed the temperature dependence of the magnetization and the magnetic anisotropy of a thin film with only surface moments, we continue our study with a more complex system. Namely, we model a thin film with simple cubic lattice structure with $ 16000$ spins ($ Lz=10$). Now we distinguish between bulk and surface spins. We first investigate the case where the bulk anisotropy is of the uniaxial type and the easy axis is parallel to Z axis. The Néel surface anisotropy has an easy axis parallel to the easy axis of the bulk anisotropy and perpendicular to the surface of the thin film (see Fig. 4.9).

Figure 4.9: Sketch for the geometry: (left) Thin film with 16000 moments, $ Lz=10$ and with a sc crystalline structure. The uniaxial anisotropies with easy axis in the bulk and on the surface are depicted on the right hand side.
\includegraphics[totalheight=0.15\textheight]{LD_sc_surf.eps} \includegraphics[totalheight=0.1\textheight]{Uniz_KsZ.eps}

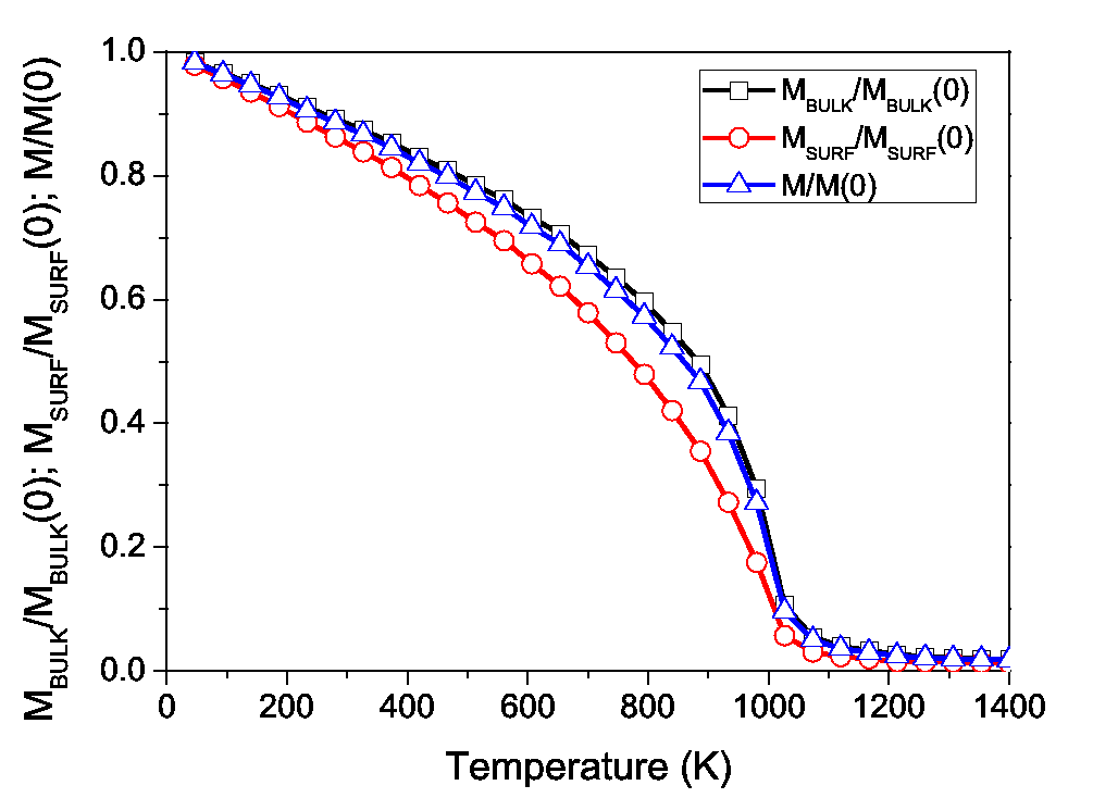
When both bulk and surface anisotropies are uniaxial, the torque curves are similar to those corresponding to a pure uniaxial system. However, the effective anisotropy constant is different from the bulk or the surface ones. It can be calculated by fitting the torque curves to the expression (4.19). We calculate the total, bulk and the surface magnetization, see Fig. 4.10 (left graph) and the total anisotropy, see Fig. 4.10 (right graph), dependencies on temperature. The surface magnetization is more sensitive than the total magnetization to the temperature increase, but both have the same Curie temperature, we can find similar results in the literature [130,131].

Figure 4.10: Temperature dependence of magnetization and effective uniaxial anisotropy constant (left and right graphic respectively) of a thin film with $ Lz=10$, with uniaxial anisotropy in the bulk and Néel surface anisotropy $ K_{s}=10\cdot K_{c}$.
\includegraphics[totalheight=0.27\textheight]{LD_sc_uni_MT_ks10.eps} \includegraphics[totalheight=0.27\textheight]{LD_sc_uni_KT_ks10.eps}
This stronger sensibility of the surface magnetization arises from a reduction in coordination number at the surface. An isolated surface layer also has a reduced Curie temperature, see Fig. 4.8. But in the present case the surface layer is polarized by the bulk and thus the surface and the bulk moments share the same $ Tc$ of around $ 1050 K$.
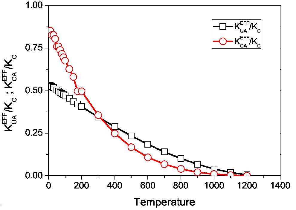
Figure 4.11: For a thin film of $ L_z=10$ atomic planes with fcc structure, cubic bulk anisotropy and Néel surface anisotropy ( $ K_{s}=10\cdot K_{c}$) perpendicular to the thin film plane and parallel to one of the bulk anisotropy easy exes: (Left) Angular dependence of the component Y of the restoring torque. (Right) Temperature dependence of uniaxial and cubic effective anisotropies.
\includegraphics[totalheight=0.27\textheight]{LD_fcc_cub_TorT10.eps} \includegraphics[totalheight=0.27\textheight]{LD_fcc_cub_KeffT.eps}

Next we present a more complicated situation, where an fcc thin film has cubic bulk anisotropy and a Néel surface anisotropy. The plane of the thin films is cut along the (001) direction, thus for an fcc crystalline structure the spins that belong to the surface have lost 4 first neighbors. This yields a further reduction of the exchange field and therefore the sensibility of the surface magnetization with temperature is increased. One of the easy axes of the cubic anisotropy coincides with the surface anisotropy axis and is perpendicular to the thin film surface. The torque curve is clearly a sum of the uniaxial and cubic contributions as is seen in Fig. 4.11 (Left).

The temperature dependence of the uniaxial and cubic macroscopic contributions to the anisotropies of the system are present in Fig. 4.11 (Right). According to the general theory and our previous results, the cubic anisotropy is decreasing faster with temperature than the uniaxial surface one. Consequently, at low temperatures the cubic anisotropy dominates, while at high temperatures the uniaxial surface one. This leads to a change in the global easy axis of the system with temperature.

Rocio Yanes