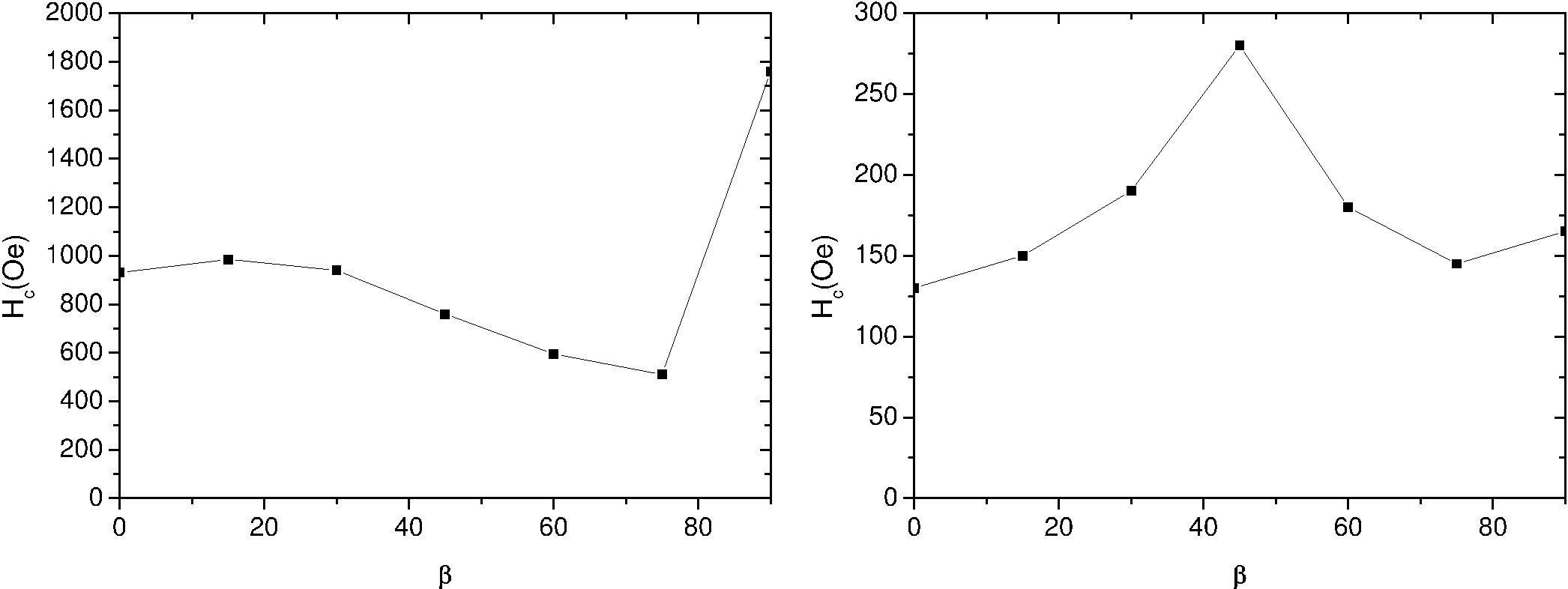
4.4 Angular dependence of coercivity

Figure: Simulated coercivity as a function of the angle of the applied field $ \beta $ for particles with dimensions: (a) $ 400\times 40\times 40 nm^3$ and (b) $ 400\times 250\times 40 nm^3$.
\includegraphics[width=\textwidth]{Capitulo4/Graficas4/angular.eps}
(a) (b)
One of the largest possible differences between experimental situation and the model is the misalignment between the particle axis and the applied field. To include this into consideration, we first have calculated the angular dependence of the demagnetization process, applying the field with an angle $ \beta $ with respect to the long axis of the particles. We can again distinguish two types of behavior as shown in Fig. 4.10. In the small aspect ratio case the angular dependence of the coercivity is proper to the biaxial anisotropy. For the particles with smaller widths the angular coercivity is determined by the strong shape anisotropy and the characteristics of the moment configurations corresponding to the remanence do not depend on the saturating field orientation for $ \beta< 90^\circ$. Differently from this, in the case $ \beta= 90^\circ$ both the remanence configuration and the reversal process occurred through moment configurations clearly different from those previously discussed, see Fig 4.11. The configuration at the remanence corresponded to the disappearance of the close-to-uniform moment configuration observed at the particle core which is substituted by the two Néel-like walls with a cross-tie domain wall between them.

Figure: Remanence configuration of $ 90^\circ $ hysteresis loop for the $ 400\times 40\times 40 nm^3$ particle.
\includegraphics[width=\textwidth]{Capitulo4/Graficas4/conf90.eps}

Figure 4.12: Ribbon width dependence of the coercivity of a set of non-interacting ribbons having distributed orientations.
\includegraphics[height=7.cm]{Capitulo4/Graficas4/textura.eps}

Finally, we evaluated the influence on the model system coercivity of the occurrence of misalignment between the orientations of the nanoribbons, present in the measured samples. In Fig. 4.12 we plot the calculated ribbon coercivity as a function of their widths for a non-interacting set of ribbons. We assumed the geometrical orientations, distributed according to a Gaussian distribution centered at $ 30\ensuremath{^\circ}$ or $ 45\ensuremath{^\circ}$ with the direction of the applied field and having a width $ dv$. The result is the convolution of the gaussian distribution with the corresponding coercivity as a function of the angle. As it is possible to observe from the Figure, the consideration of ribbon misorientation reduces, with respect to the absence of it, the differences between the experimental and the simulational results.

2008-04-04